Излучение
Лекции по строительной теплофизики.
1. Введение.
1.1 Цель и задачи курса.
1.2 Предмет курса.
1.3 Здание как единая энергетическая система.
2. Тепловлагопередача через наружные ограждения.
2.1 Основы теплопередачи в здании.
2.1.1 Теплопроводность.
2.1.2 Конвекция.
2.1.3 Излучение.
2.1.4 Термическое сопротивление воздушной прослойки.
2.1.5 Коэффициенты теплоотдачи на внутренней и наружной поверхностях.
2.1.6 Теплопередача через многослойную стенку.
2.1.7 Приведенное сопротивление теплопередаче.
2.1.8 Распределение температуры по сечению ограждения.
2.2 Влажностный режим ограждающих конструкций.
2.2.1 Причины появления влаги в ограждениях.
2.2.2 Отрицательные последствия увлажнения наружных ограждений.
2.2.3 Связь влаги со строительными материалами.
2.2.4 Влажный воздух.
2.2.5 Влажность материала.
2.2.6 Сорбция и десорбция.
2.2.7 Паропроницаемость ограждений.
2.3 Воздухопроницаемость наружных ограждений.
2.3.1 Основные положения.
2.3.2 Разность давлений на наружной и внутренней поверхности ограждений.
2.3.3 Воздухопроницаемость строительных материалов.
Излучение (лучистый теплообмен) - перенос теплоты с поверхности на поверхность через луче-прозрачную среду электромагнитными волнами, трансформирующимися в теплоту (рис.4).
Рис.4. Лучистый теплообмен между двумя поверхностями.
Любое физическое тело, имеющее температуру отличную от абсолютного нуля, излучает в окружающее пространство энергию в виде электромагнитных волн. Свойства электромагнитного излучения характеризуются длиной волны. Излучение, которое воспринимается как тепловое и имеющее длины волн в диапазоне 0,76 - 50 мкм, называется инфракрасным.
Например, лучистый теплообмен происходит между поверхностями, обращенными в помещение, между наружными поверхностями различных зданий, поверхностями земли и неба. Важен лучистый теплообмен между внутренними поверхностями ограждений помещения и поверхностью отопительного прибора. Во всех этих случаях лучепрозрачной средой, пропускающей тепловые волны, является воздух.
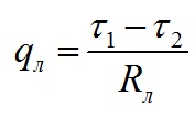
В практике расчетов теплового потока при лучистом теплообмене используют упрощенную формулу. Интенсивность передачи теплоты излучением qл, Вт/м2, определяется разностью температуры поверхностей, участвующих в лучистом теплообмене:

, (2.9)
где T1и T2 - значения температуры поверхностей, обменивающихся лучистой теплотой, ºС;
aл - коэффициент лучистой теплоотдачи на поверхности стенки, Вт/м². ºС.
Коэффициент теплоотдачи излучением, aл - физическая величина, численно равная количеству теплоты, передаваемой от одной поверхности к другой путем излучения при разности между температурой поверхностей, равной 1оС.
Введем понятие сопротивления лучистой теплоотдаче Rл на поверхности ограждающей конструкции, м². ºС/Вт, равное разности температуры на поверхностях ограждений, обменивающихся лучистой теплотой, при прохождении с поверхности на поверхность теплового потока с поверхностной плотностью 1 Вт/м2.
Тогда уравнение (2.8) можно переписать в виде:

, (2.10)
Сопротивление Rл является величиной обратной коэффициенту лучистой теплоотдачи aл:

. (2.11)
1.1 Цель и задачи курса.
1.2 Предмет курса.
1.3 Здание как единая энергетическая система.
2. Тепловлагопередача через наружные ограждения.
2.1 Основы теплопередачи в здании.
2.1.1 Теплопроводность.
2.1.2 Конвекция.
2.1.3 Излучение.
2.1.4 Термическое сопротивление воздушной прослойки.
2.1.5 Коэффициенты теплоотдачи на внутренней и наружной поверхностях.
2.1.6 Теплопередача через многослойную стенку.
2.1.7 Приведенное сопротивление теплопередаче.
2.1.8 Распределение температуры по сечению ограждения.
2.2 Влажностный режим ограждающих конструкций.
2.2.1 Причины появления влаги в ограждениях.
2.2.2 Отрицательные последствия увлажнения наружных ограждений.
2.2.3 Связь влаги со строительными материалами.
2.2.4 Влажный воздух.
2.2.5 Влажность материала.
2.2.6 Сорбция и десорбция.
2.2.7 Паропроницаемость ограждений.
2.3 Воздухопроницаемость наружных ограждений.
2.3.1 Основные положения.
2.3.2 Разность давлений на наружной и внутренней поверхности ограждений.
2.3.3 Воздухопроницаемость строительных материалов.
2.1.3 Излучение.
Излучение (лучистый теплообмен) - перенос теплоты с поверхности на поверхность через луче-прозрачную среду электромагнитными волнами, трансформирующимися в теплоту (рис.4).
Рис.4. Лучистый теплообмен между двумя поверхностями.
Любое физическое тело, имеющее температуру отличную от абсолютного нуля, излучает в окружающее пространство энергию в виде электромагнитных волн. Свойства электромагнитного излучения характеризуются длиной волны. Излучение, которое воспринимается как тепловое и имеющее длины волн в диапазоне 0,76 - 50 мкм, называется инфракрасным.
Например, лучистый теплообмен происходит между поверхностями, обращенными в помещение, между наружными поверхностями различных зданий, поверхностями земли и неба. Важен лучистый теплообмен между внутренними поверхностями ограждений помещения и поверхностью отопительного прибора. Во всех этих случаях лучепрозрачной средой, пропускающей тепловые волны, является воздух.
В практике расчетов теплового потока при лучистом теплообмене используют упрощенную формулу. Интенсивность передачи теплоты излучением qл, Вт/м2, определяется разностью температуры поверхностей, участвующих в лучистом теплообмене:

, (2.9)
где T1и T2 - значения температуры поверхностей, обменивающихся лучистой теплотой, ºС;
aл - коэффициент лучистой теплоотдачи на поверхности стенки, Вт/м². ºС.
Коэффициент теплоотдачи излучением, aл - физическая величина, численно равная количеству теплоты, передаваемой от одной поверхности к другой путем излучения при разности между температурой поверхностей, равной 1оС.
Введем понятие сопротивления лучистой теплоотдаче Rл на поверхности ограждающей конструкции, м². ºС/Вт, равное разности температуры на поверхностях ограждений, обменивающихся лучистой теплотой, при прохождении с поверхности на поверхность теплового потока с поверхностной плотностью 1 Вт/м2.
Тогда уравнение (2.8) можно переписать в виде:

, (2.10)
Сопротивление Rл является величиной обратной коэффициенту лучистой теплоотдачи aл:

. (2.11)

