Теплопроводность
Лекции по строительной теплофизики.
1. Введение.
1.1 Цель и задачи курса.
1.2 Предмет курса.
1.3 Здание как единая энергетическая система.
2. Тепловлагопередача через наружные ограждения.
2.1 Основы теплопередачи в здании.
2.1.1 Теплопроводность.
2.1.2 Конвекция.
2.1.3 Излучение.
2.1.4 Термическое сопротивление воздушной прослойки.
2.1.5 Коэффициенты теплоотдачи на внутренней и наружной поверхностях.
2.1.6 Теплопередача через многослойную стенку.
2.1.7 Приведенное сопротивление теплопередаче.
2.1.8 Распределение температуры по сечению ограждения.
2.2 Влажностный режим ограждающих конструкций.
2.2.1 Причины появления влаги в ограждениях.
2.2.2 Отрицательные последствия увлажнения наружных ограждений.
2.2.3 Связь влаги со строительными материалами.
2.2.4 Влажный воздух.
2.2.5 Влажность материала.
2.2.6 Сорбция и десорбция.
2.2.7 Паропроницаемость ограждений.
2.3 Воздухопроницаемость наружных ограждений.
2.3.1 Основные положения.
2.3.2 Разность давлений на наружной и внутренней поверхности ограждений.
2.3.3 Воздухопроницаемость строительных материалов.
1.1 Цель и задачи курса.
1.2 Предмет курса.
1.3 Здание как единая энергетическая система.
2. Тепловлагопередача через наружные ограждения.
2.1 Основы теплопередачи в здании.
2.1.1 Теплопроводность.
2.1.2 Конвекция.
2.1.3 Излучение.
2.1.4 Термическое сопротивление воздушной прослойки.
2.1.5 Коэффициенты теплоотдачи на внутренней и наружной поверхностях.
2.1.6 Теплопередача через многослойную стенку.
2.1.7 Приведенное сопротивление теплопередаче.
2.1.8 Распределение температуры по сечению ограждения.
2.2 Влажностный режим ограждающих конструкций.
2.2.1 Причины появления влаги в ограждениях.
2.2.2 Отрицательные последствия увлажнения наружных ограждений.
2.2.3 Связь влаги со строительными материалами.
2.2.4 Влажный воздух.
2.2.5 Влажность материала.
2.2.6 Сорбция и десорбция.
2.2.7 Паропроницаемость ограждений.
2.3 Воздухопроницаемость наружных ограждений.
2.3.1 Основные положения.
2.3.2 Разность давлений на наружной и внутренней поверхности ограждений.
2.3.3 Воздухопроницаемость строительных материалов.
2.1.1 Теплопроводность.
Теплопроводность - вид передачи теплоты между неподвижными частицами твердого, жидкого или газообразными вещества. Таким образом, теплопроводность - это теплообмен между частицами или элементами структуры материальной среды, находящимися в непосредственном соприкосновении друг с другом. При изучении теплопроводности вещество рассматривается как сплошная масса, его молекулярное строение игнорируется. В чистом виде теплопроводность встречается только в твердых телах, так как в жидких и газообразных средах практически невозможно обеспечить неподвижность вещества.
Большинство строительных материалов являются пористыми телами. В порах находится воздух, имеющий возможность двигаться, то есть переносить теплоту конвекцией. Считается, что конвективной составляющей теплопроводности строительных материалов можно пренебречь ввиду ее малости. Внутри поры между поверхностями ее стенок происходит лучистый теплообмен. Передача теплоты излучением в порах материалов определяется главным образом размером пор, потому что чем больше поры, тем больше разность температуры на ее стенках. При рассмотрении теплопроводности характеристики этого процесса относят к общей массе вещества: скелету и порам совместно.
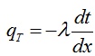
Ограждающие конструкции здания, как правило, является плоско-параллельными стенками, теплоперенос в которых осуществляется в одном направлении. Кроме того, обычно при теплотехнических расчетах наружных ограждающих конструкций принимается, что теплопередача происходит при стационарных тепловых условиях, то есть при постоянстве во времени всех характеристик процесса: теплового потока, температуры в каждой точке, теплофизических характеристик строительных материалов. Поэтому важно рассмотреть процесс одномерной стационарной теплопроводности в однородном материале, который описывается уравнением Фурье:

, (2.1)
где qT - поверхностная плотность теплового потока, проходящего через плоскость, перпендикулярную тепловому потоку, Вт/м²;
λ - теплопроводность материала, Вт/м. °С;
t - температура, изменяющаяся вдоль оси x, °С;
Отношение
, носит название градиента температуры, °С/м, и обозначается grad t. Градиент температуры направлен в сторону возрастания температуры, которое связано с поглощением теплоты и уменьшением теплового потока. Знак минус, стоящий в правой части уравнения (2.1), показывает, что увеличение теплового потока не совпадает с увеличением температуры.
Теплопроводность λ является одной из основных тепловых характеристик материала. Как следует из уравнения (2.1) теплопроводность материала - это мера проводимости теплоты материалом, численно равная тепловому потоку, проходящему сквозь 1 м² площади, перпендикулярной направлению потока, при градиенте температуры вдоль потока, равном 1 °С/м (рис.1). Чем больше значение λ, тем интенсивнее в таком материале процесс теплопроводности, больше тепловой поток. Поэтому теплоизоляционными материалами принято считать материалы с теплопроводностью менее 0,3 Вт/м. °С.

Рис.1 Направления теплового потока и градиента температуры.
_______ - изотермы; - ------ - линии тока теплоты.
Изменение теплопроводности строительных материалов с изменением их плотности происходит из-за того, что практически любой строительный материал состоит из скелета - основного строительного вещества и воздуха. К.Ф. Фокин [38] для примера приводит такие данные: теплопроводность абсолютно плотного веществе (без пор) в зависимости от природы имеет теплопроводность от 0,1 Вт/м °С (у пластмассы) до 14 Вт/м °С (у кристаллических веществ при потоке теплоты вдоль кристаллической поверхности), в то время как воздух имеет теплопроводность около 0,026 Вт/м °С. Чем выше плотность материала (меньше пористость), тем больше значение его теплопроводности. Понятно, что легкие теплоизоляционные материалы имеют сравнительно небольшую плотность.
Различия в пористости и в теплопроводности скелета приводит к различию в теплопроводности материалов, даже при одинаковой их плотности. Например, следующие материалы (табл.1) при одной и той же плотности, ρ0=1800 кг/м3, имеют различные значения теплопроводности [38]:
Таблица 1.
Теплопроводность материалов с одинаковой плотностью 1800 кг/м³ [38].

С уменьшением плотности материала его теплопроводность λ уменьшается, так как снижается влияние кондуктивной составляющей теплопроводности скелета материала, но, однако при этом возрастает влияние радиационной составляющей. Поэтому, уменьшение плотности ниже некоторого значения приводит к росту теплопроводности. То есть существует некоторое значение плотности, при котором теплопроводность имеет минимальное значение. Существуют оценки того, что при 20 °С в порах диаметром 1мм теплопроводность излучением составляет 0,0007 Вт/ (м °С), диаметром 2 мм - 0,0014 Вт/ (м °С) и т.д. Таким образом, теплопроводность излучением становится значимой у теплоизоляционных материалов с малой плотностью и значительными размерами пор.
Теплопроводность материала увеличивается с повышением температуры, при которой происходит передача теплоты. Увеличение теплопроводности материалов объясняется возрастанием кинетической энергии молекул скелета вещества. Увеличивается также и теплопроводность воздуха в порах материала, и интенсивность передачи в них теплоты излучением. В строительной практике зависимость теплопроводности от температуры большого значения не имеет для пересчета значений теплопроводности материалов, полученных при температуре до 100оС, на значения их при 0оС служит эмпирическая формула О.Е. Власова [3]:

, (2.2)
где λо - теплопроводность материала при 0 °С;
λt - теплопроводность материала при t °С;
β - температурный коэффициент изменения теплопроводности, 1/°С, для различных материалов, равный около 0,0025 1/°С;
t - температура материала, при которой его коэффициент теплопроводности равен λt.
Для плоской однородной стенки толщиной δ (рис.2) тепловой поток, передаваемый теплопроводностью через однородную стенку, может быть выражен уравнением:
, (2.3)
где τ1,τ2 - значения температуры на поверхностях стенки, °С.
Из выражения (2.3) следует, что распределение температуры по толщине стенки линейное. Величина δ/λ названа термическим сопротивлением материального слоя и обозначена RT, м². °С/Вт:
, (2.4)

Рис.2. Распределение температуры в плоской однородной стенке.
Следовательно, тепловой поток qТ, Вт/м², через однородную плоскопараллельную стенку толщиной δ, м, из материала с теплопроводностью λ, Вт/м. °С, можно записать в виде
, (2.5)
Термическое сопротивление слоя - это сопротивление теплопроводности, равное разности температуры на противоположных поверхностях слоя при прохождении через него теплового потока с поверхностной плотностью 1 Вт/м².
Теплообмен теплопроводностью имеет место в материальных слоях ограждающих конструкций здания.
Большинство строительных материалов являются пористыми телами. В порах находится воздух, имеющий возможность двигаться, то есть переносить теплоту конвекцией. Считается, что конвективной составляющей теплопроводности строительных материалов можно пренебречь ввиду ее малости. Внутри поры между поверхностями ее стенок происходит лучистый теплообмен. Передача теплоты излучением в порах материалов определяется главным образом размером пор, потому что чем больше поры, тем больше разность температуры на ее стенках. При рассмотрении теплопроводности характеристики этого процесса относят к общей массе вещества: скелету и порам совместно.
Ограждающие конструкции здания, как правило, является плоско-параллельными стенками, теплоперенос в которых осуществляется в одном направлении. Кроме того, обычно при теплотехнических расчетах наружных ограждающих конструкций принимается, что теплопередача происходит при стационарных тепловых условиях, то есть при постоянстве во времени всех характеристик процесса: теплового потока, температуры в каждой точке, теплофизических характеристик строительных материалов. Поэтому важно рассмотреть процесс одномерной стационарной теплопроводности в однородном материале, который описывается уравнением Фурье:

, (2.1)
где qT - поверхностная плотность теплового потока, проходящего через плоскость, перпендикулярную тепловому потоку, Вт/м²;
λ - теплопроводность материала, Вт/м. °С;
t - температура, изменяющаяся вдоль оси x, °С;
Отношение
, носит название градиента температуры, °С/м, и обозначается grad t. Градиент температуры направлен в сторону возрастания температуры, которое связано с поглощением теплоты и уменьшением теплового потока. Знак минус, стоящий в правой части уравнения (2.1), показывает, что увеличение теплового потока не совпадает с увеличением температуры.Теплопроводность λ является одной из основных тепловых характеристик материала. Как следует из уравнения (2.1) теплопроводность материала - это мера проводимости теплоты материалом, численно равная тепловому потоку, проходящему сквозь 1 м² площади, перпендикулярной направлению потока, при градиенте температуры вдоль потока, равном 1 °С/м (рис.1). Чем больше значение λ, тем интенсивнее в таком материале процесс теплопроводности, больше тепловой поток. Поэтому теплоизоляционными материалами принято считать материалы с теплопроводностью менее 0,3 Вт/м. °С.

Рис.1 Направления теплового потока и градиента температуры.
_______ - изотермы; - ------ - линии тока теплоты.
Изменение теплопроводности строительных материалов с изменением их плотности происходит из-за того, что практически любой строительный материал состоит из скелета - основного строительного вещества и воздуха. К.Ф. Фокин [38] для примера приводит такие данные: теплопроводность абсолютно плотного веществе (без пор) в зависимости от природы имеет теплопроводность от 0,1 Вт/м °С (у пластмассы) до 14 Вт/м °С (у кристаллических веществ при потоке теплоты вдоль кристаллической поверхности), в то время как воздух имеет теплопроводность около 0,026 Вт/м °С. Чем выше плотность материала (меньше пористость), тем больше значение его теплопроводности. Понятно, что легкие теплоизоляционные материалы имеют сравнительно небольшую плотность.
Различия в пористости и в теплопроводности скелета приводит к различию в теплопроводности материалов, даже при одинаковой их плотности. Например, следующие материалы (табл.1) при одной и той же плотности, ρ0=1800 кг/м3, имеют различные значения теплопроводности [38]:
Таблица 1.
Теплопроводность материалов с одинаковой плотностью 1800 кг/м³ [38].

Теплопроводность материала увеличивается с повышением температуры, при которой происходит передача теплоты. Увеличение теплопроводности материалов объясняется возрастанием кинетической энергии молекул скелета вещества. Увеличивается также и теплопроводность воздуха в порах материала, и интенсивность передачи в них теплоты излучением. В строительной практике зависимость теплопроводности от температуры большого значения не имеет для пересчета значений теплопроводности материалов, полученных при температуре до 100оС, на значения их при 0оС служит эмпирическая формула О.Е. Власова [3]:

, (2.2)
где λо - теплопроводность материала при 0 °С;
λt - теплопроводность материала при t °С;
β - температурный коэффициент изменения теплопроводности, 1/°С, для различных материалов, равный около 0,0025 1/°С;
t - температура материала, при которой его коэффициент теплопроводности равен λt.
Для плоской однородной стенки толщиной δ (рис.2) тепловой поток, передаваемый теплопроводностью через однородную стенку, может быть выражен уравнением:
, (2.3)
где τ1,τ2 - значения температуры на поверхностях стенки, °С.
Из выражения (2.3) следует, что распределение температуры по толщине стенки линейное. Величина δ/λ названа термическим сопротивлением материального слоя и обозначена RT, м². °С/Вт:
, (2.4)

Рис.2. Распределение температуры в плоской однородной стенке.
Следовательно, тепловой поток qТ, Вт/м², через однородную плоскопараллельную стенку толщиной δ, м, из материала с теплопроводностью λ, Вт/м. °С, можно записать в виде
, (2.5)
Термическое сопротивление слоя - это сопротивление теплопроводности, равное разности температуры на противоположных поверхностях слоя при прохождении через него теплового потока с поверхностной плотностью 1 Вт/м².
Теплообмен теплопроводностью имеет место в материальных слоях ограждающих конструкций здания.

